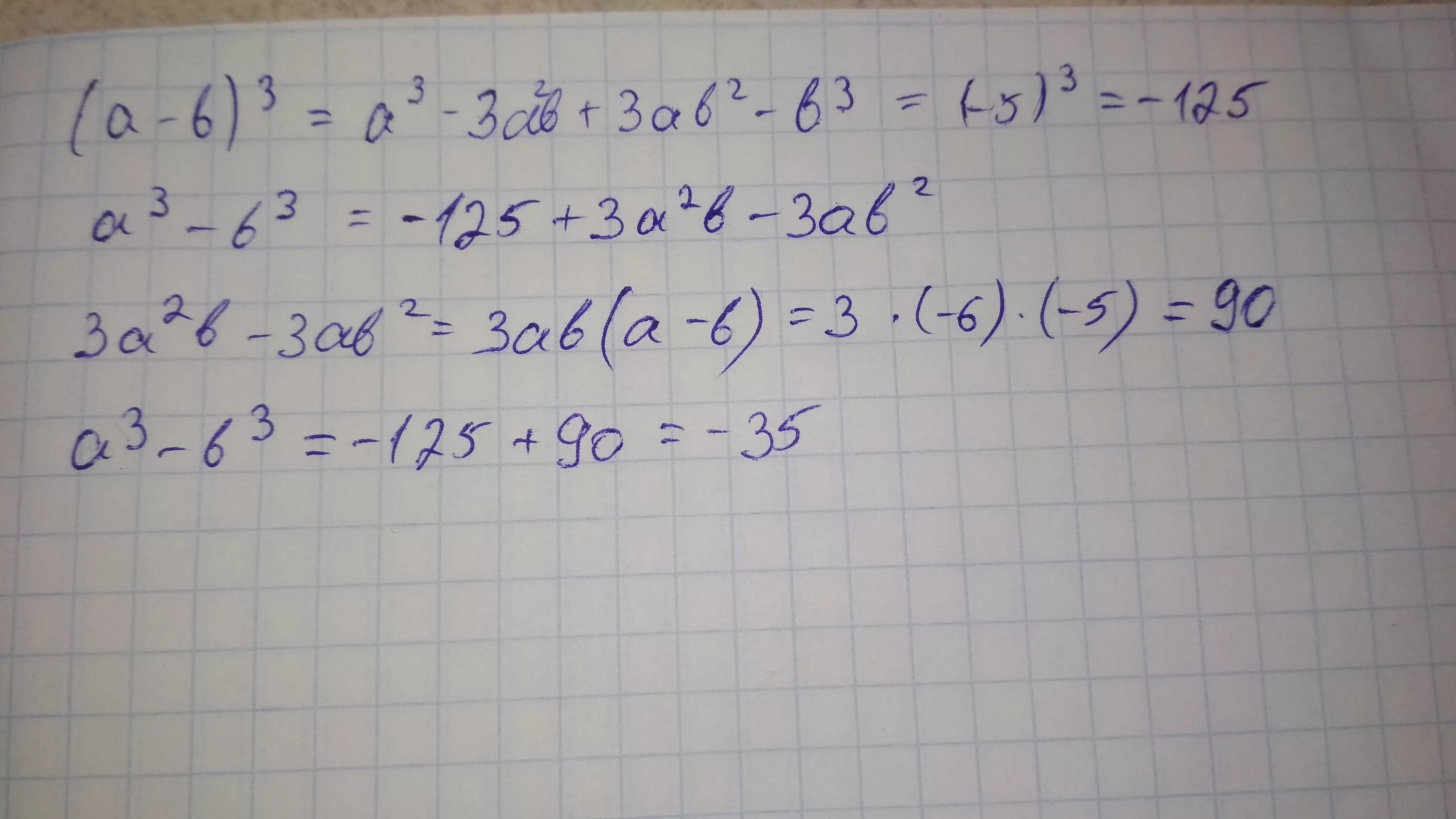
3а аб