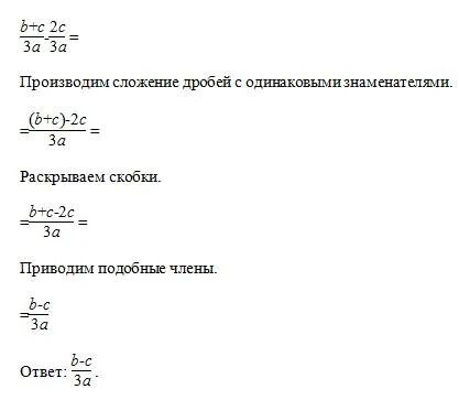
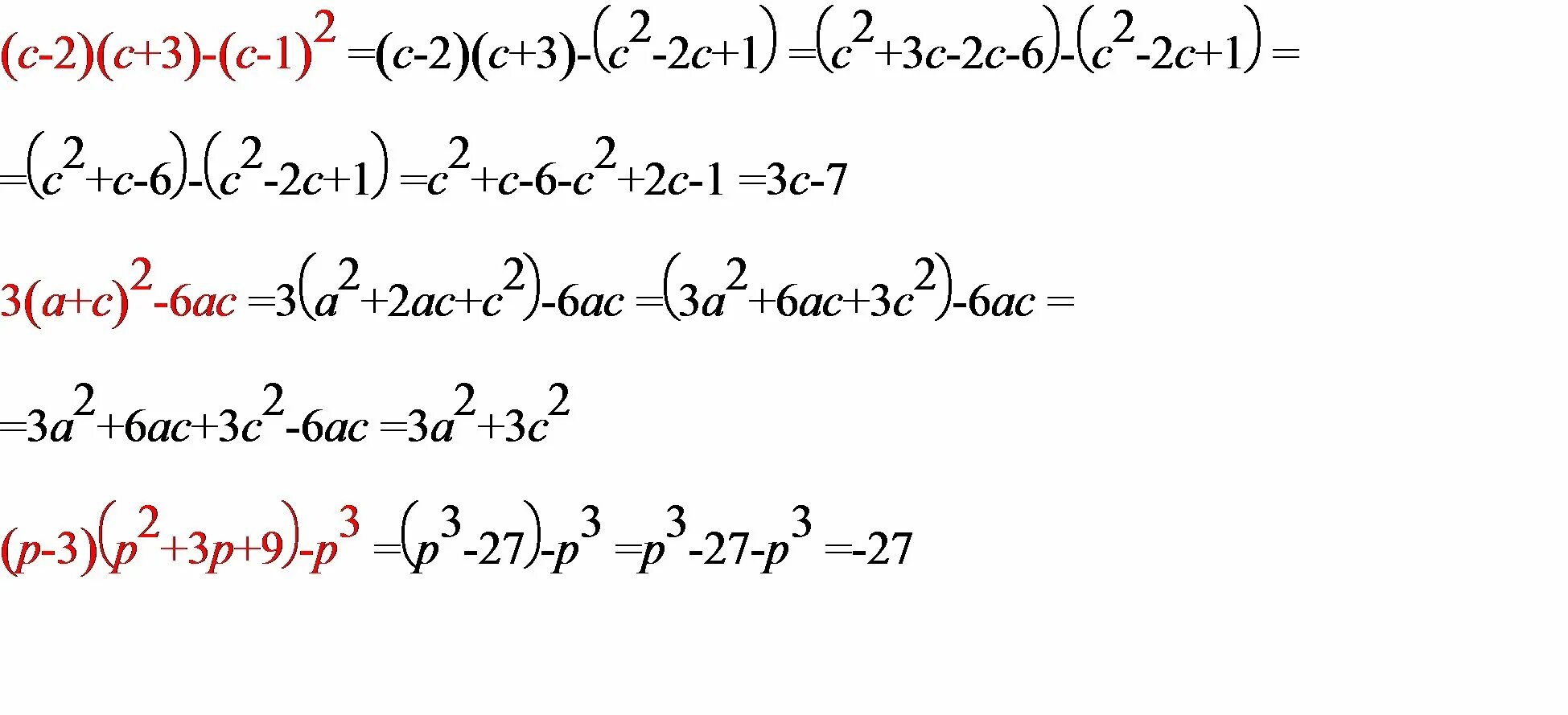
3c a c 3 a c