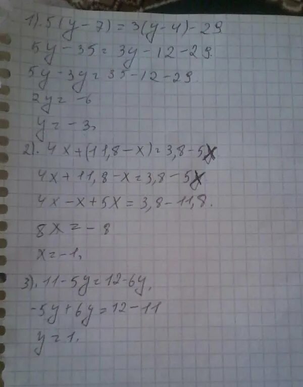
3х 7 11