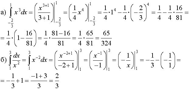
3x 1 dx вычислите интеграл