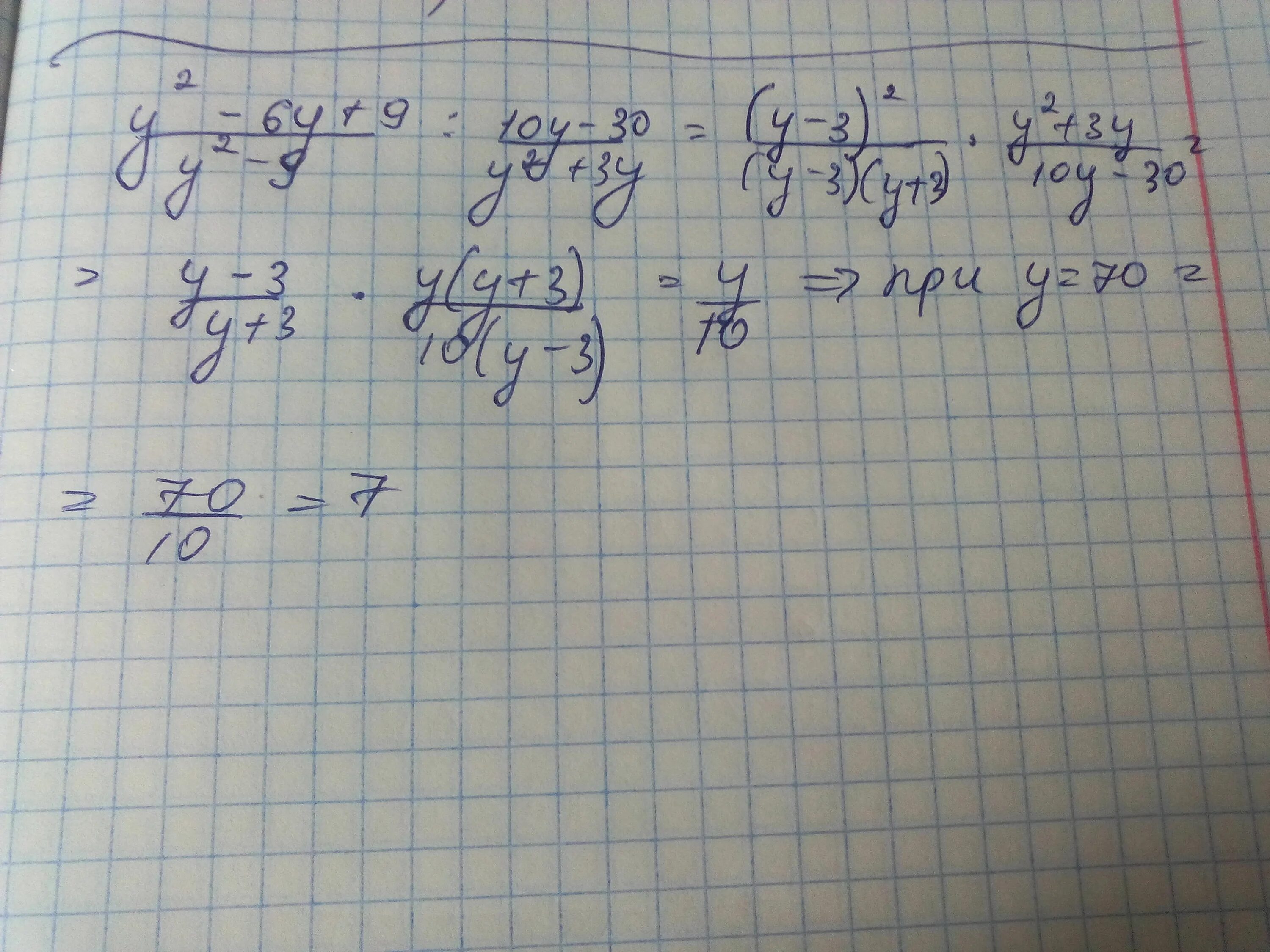
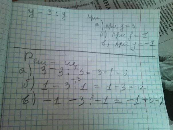
3y 3 2y при y 2