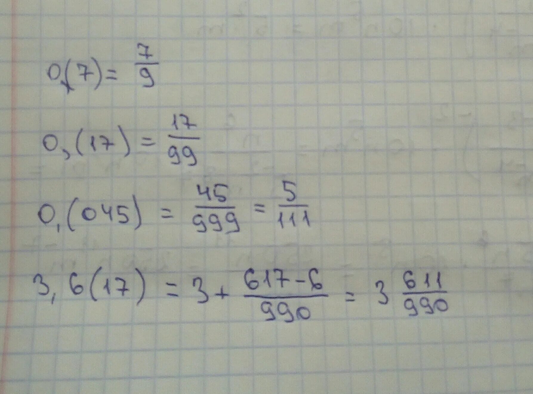
45 дробь 5 0 3