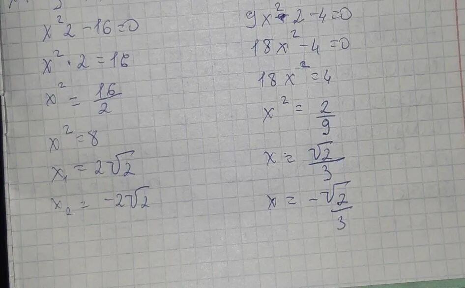
4x2 16 x 0