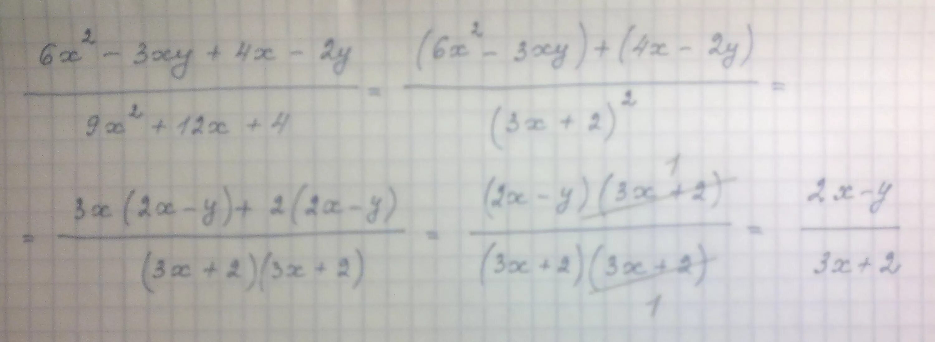
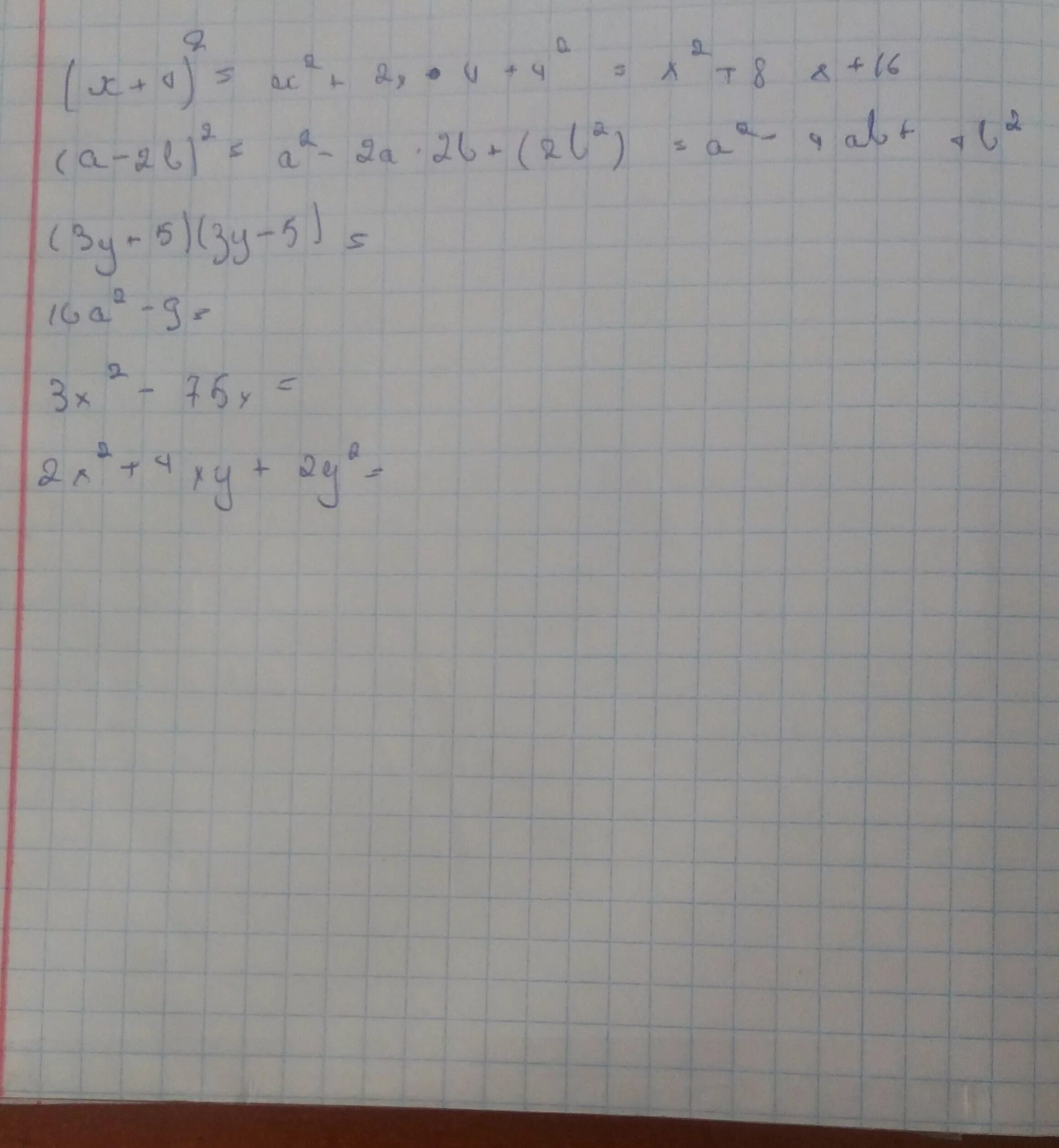
4x2 8xy 4y2