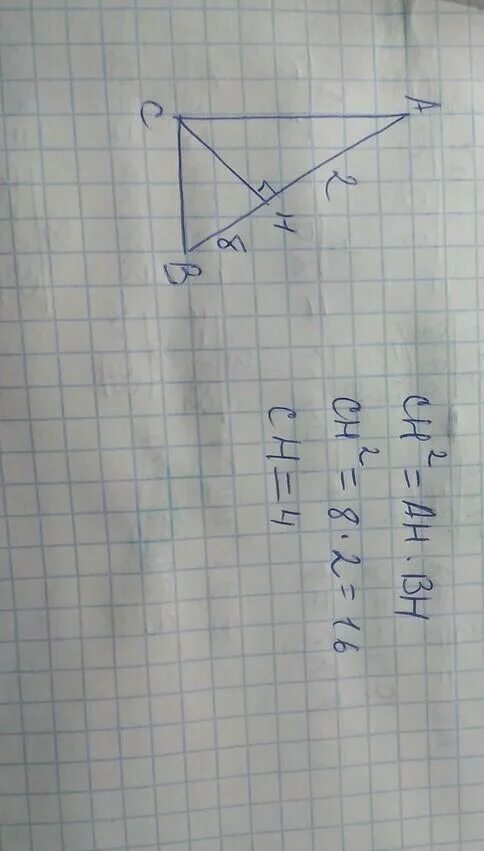
5 20 найти ch