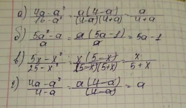
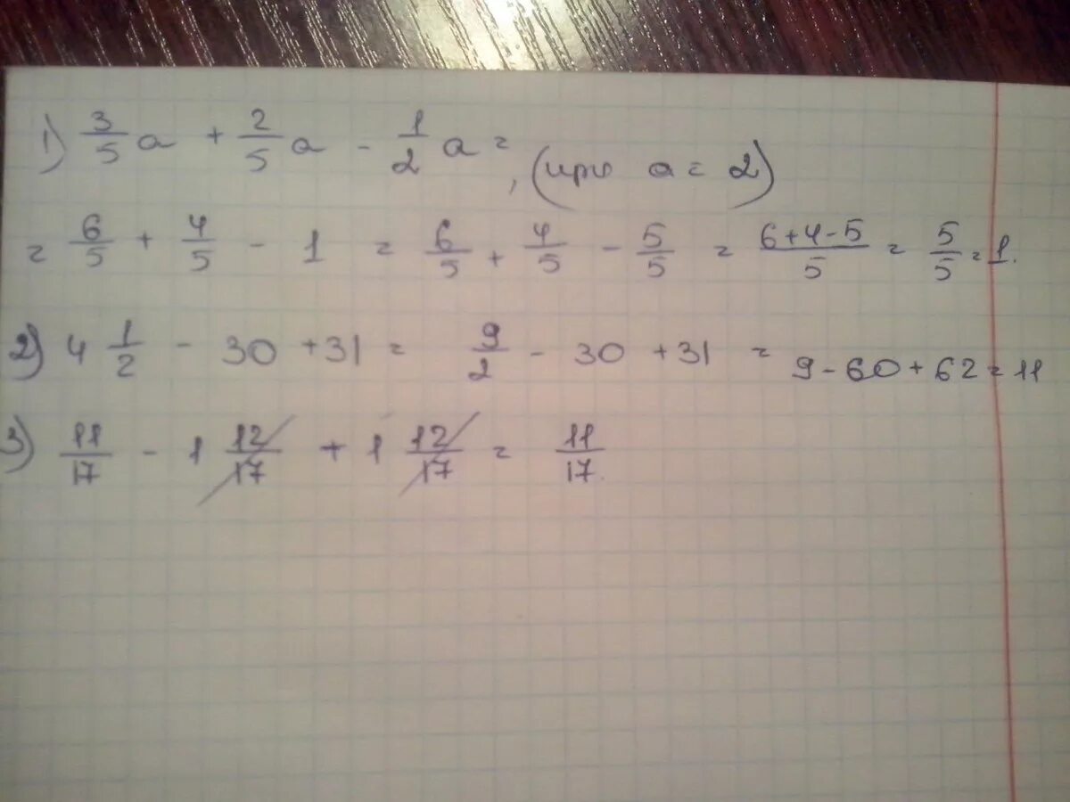
5 4а а 2а