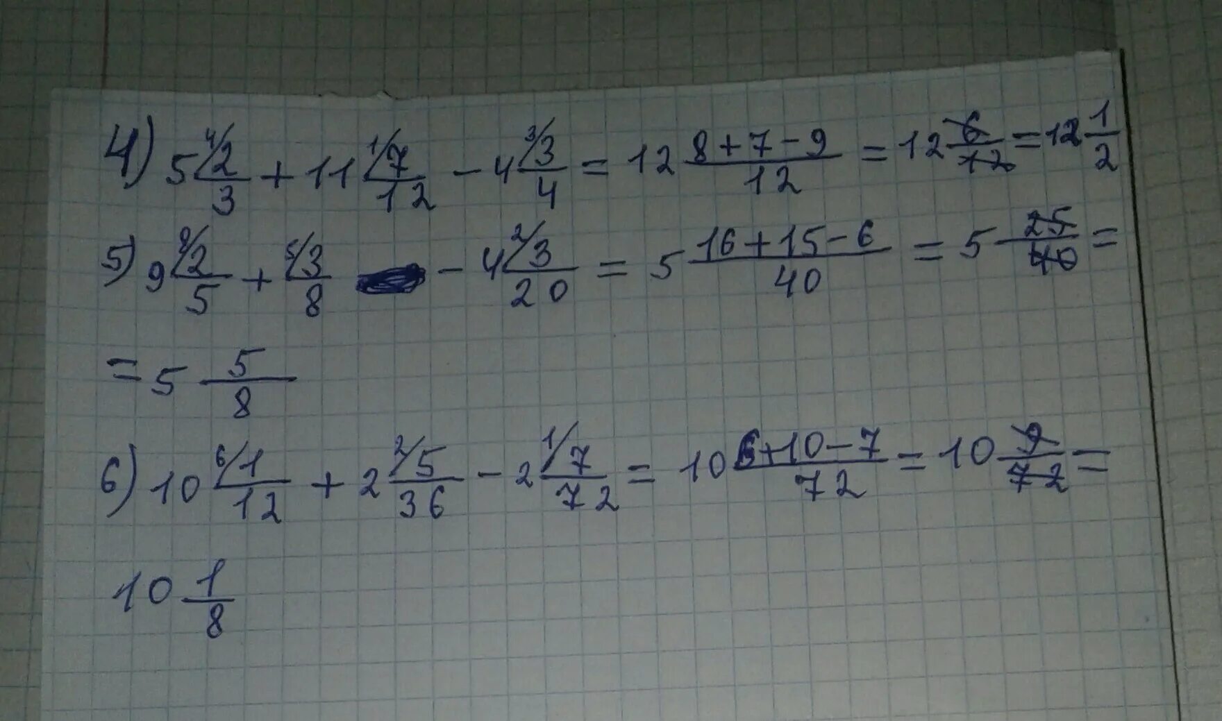
5 8 1 4 2.5