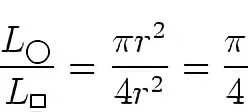
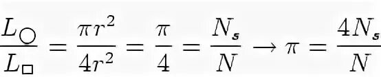
5 cdot 7 bigcirc 35