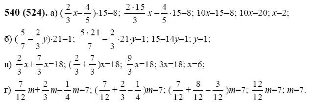
524 стр 89