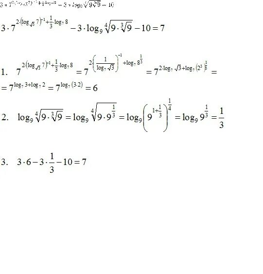
6 cdot 7 log 7 2