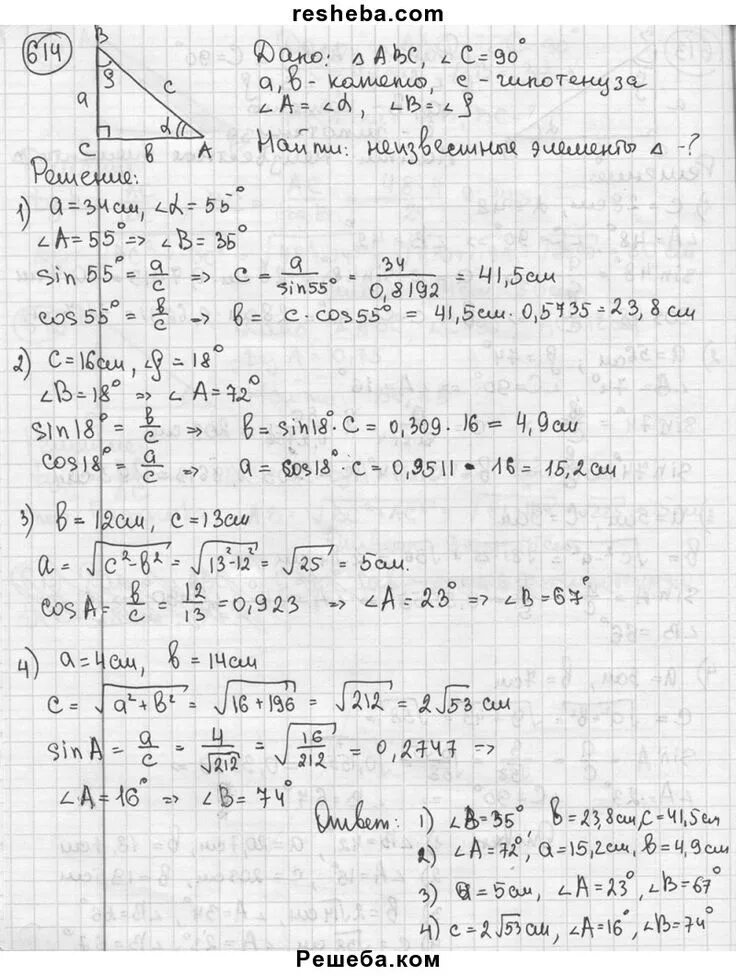
614 алгебра 7