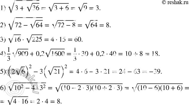
64 в 3 степени