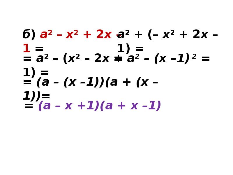
6а 2 2а