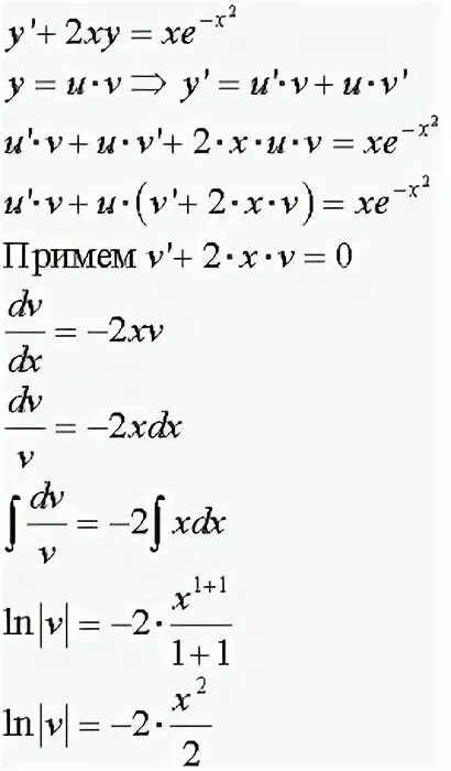
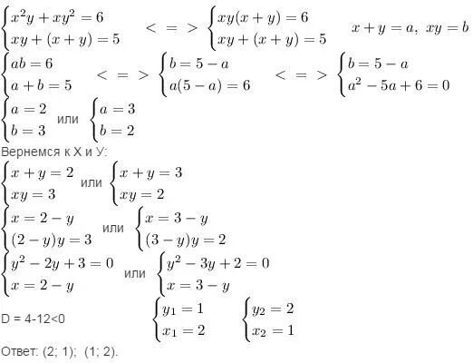
6x x xy x xy y 2