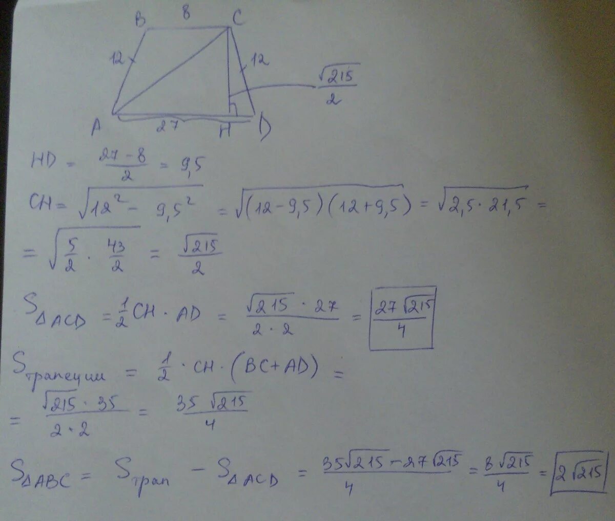
8 ac равно 12