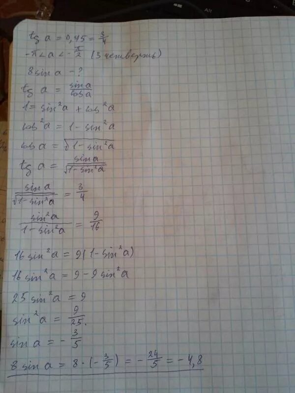
8 sina