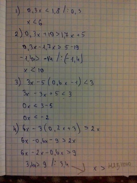
8 x 6 5