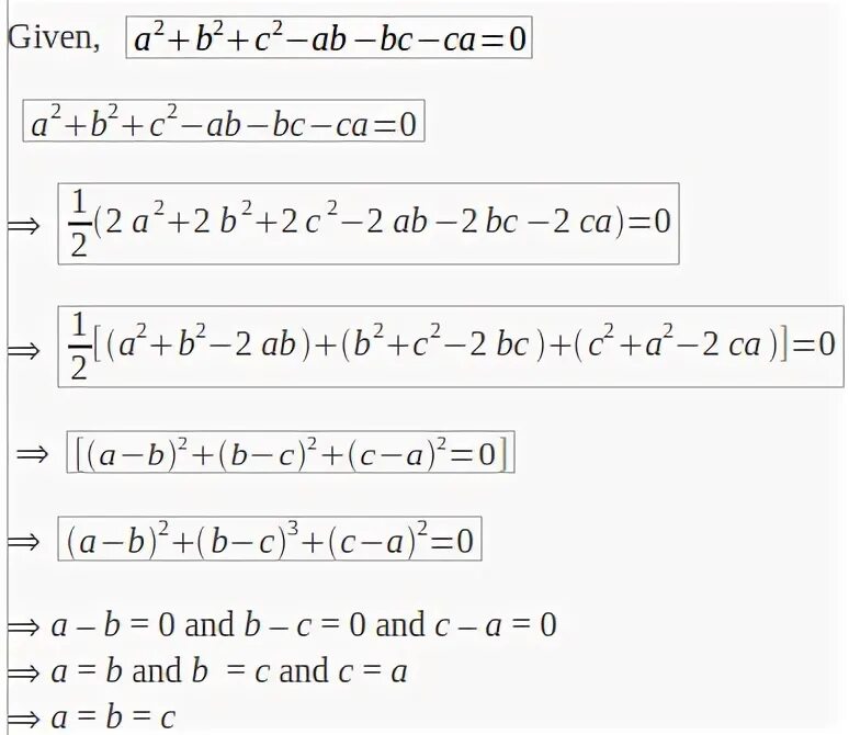
A 2 ab bc c 2