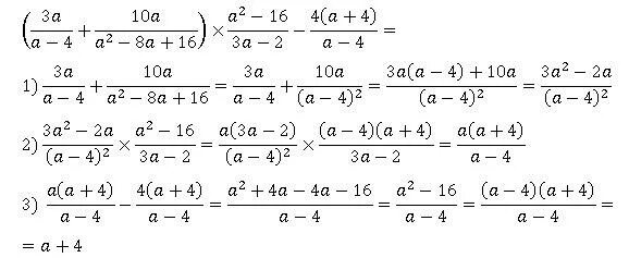
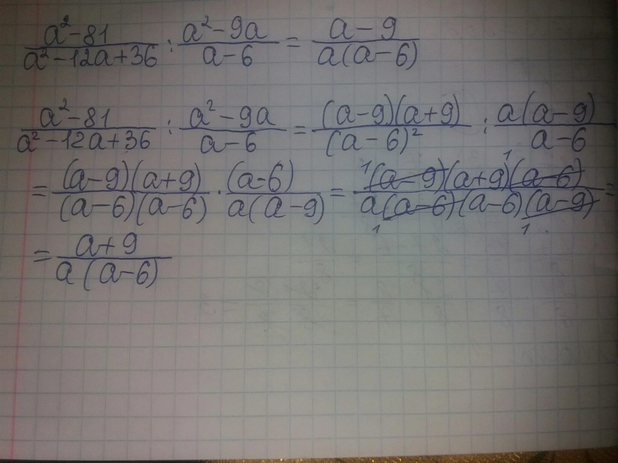
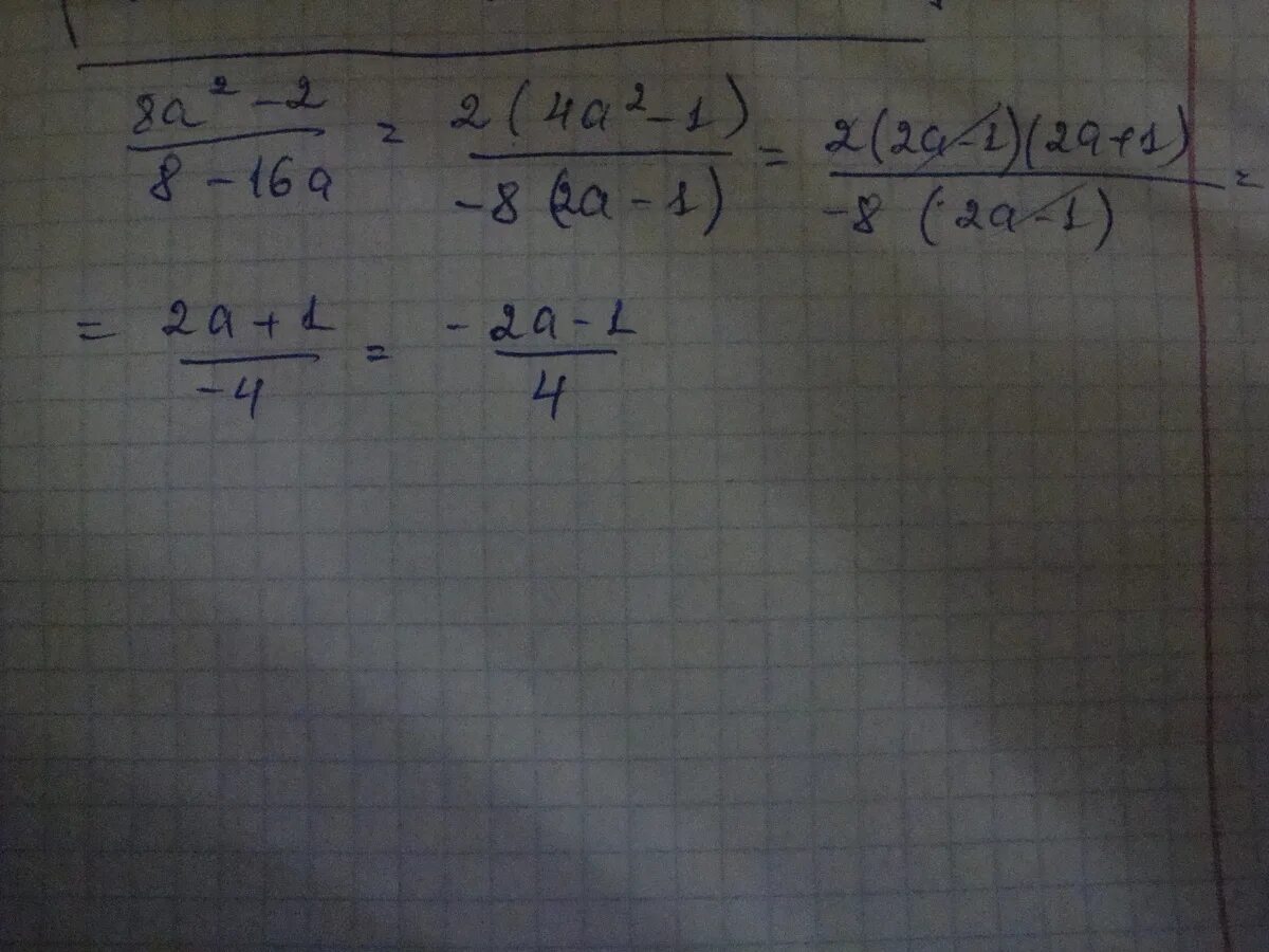
А 4 а 2 8 а2