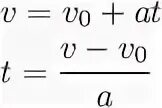
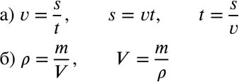
A v 20 t выразить v