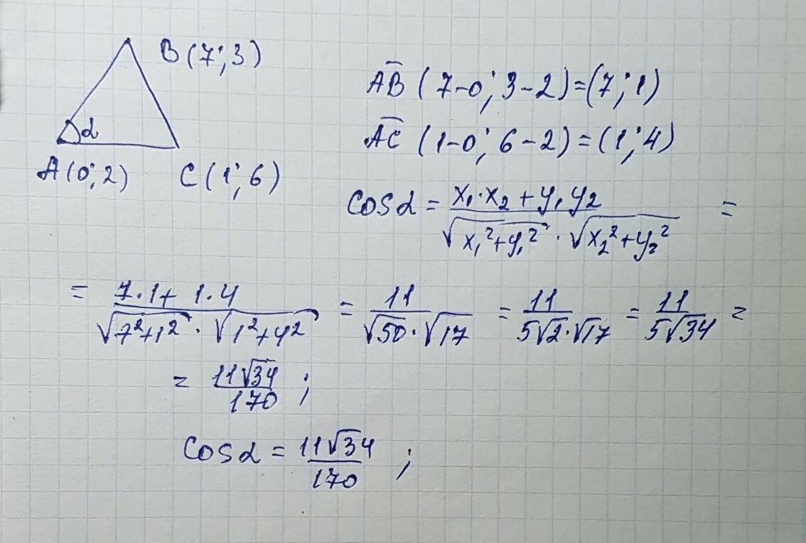
А3 в2 2