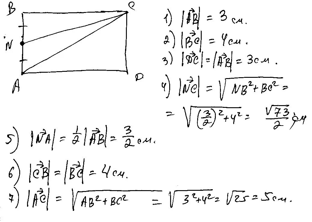
Abcd прямоугольник найти ав