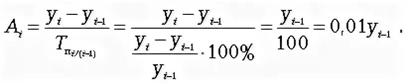
Абсолютное значение 1 процента прироста