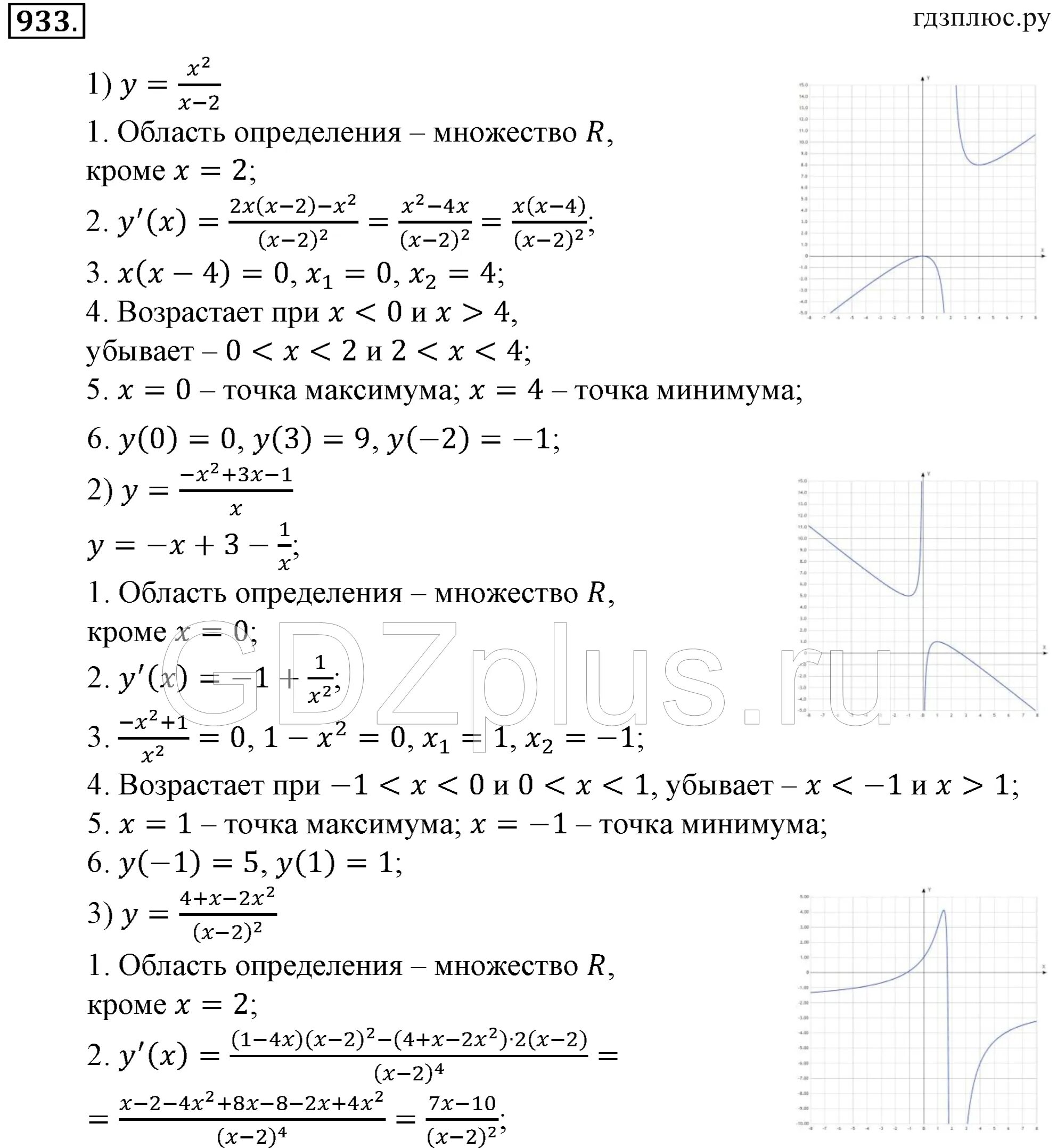
Алгебра 10 класс алимов 2014