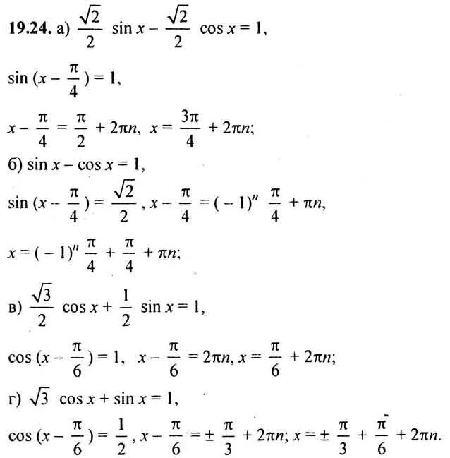
Алгебра 10 класс вариант 6