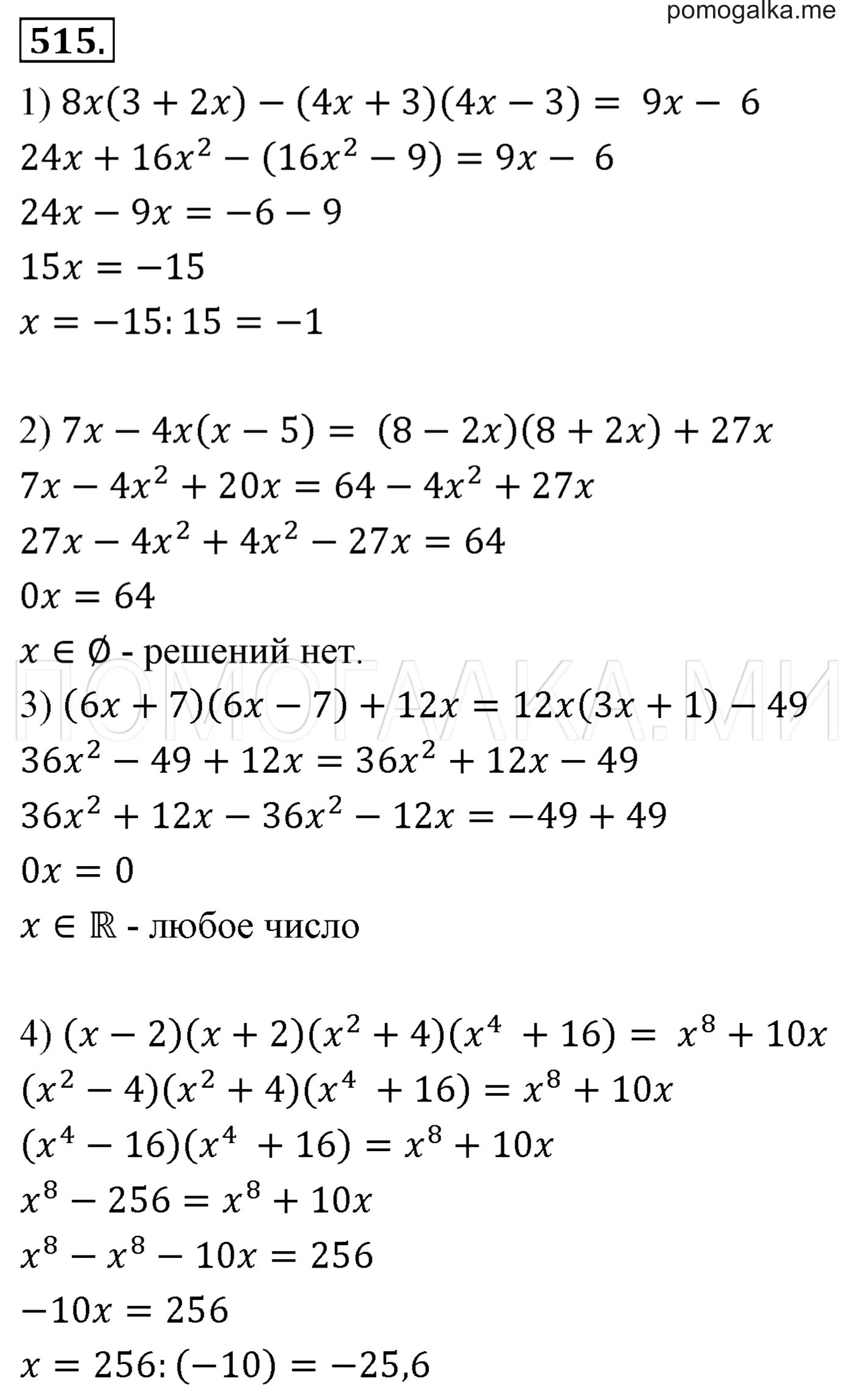
Алгебра 7 класс мерзляк номер 1089