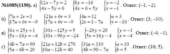
Алгебра 7 класс миндюк нешков