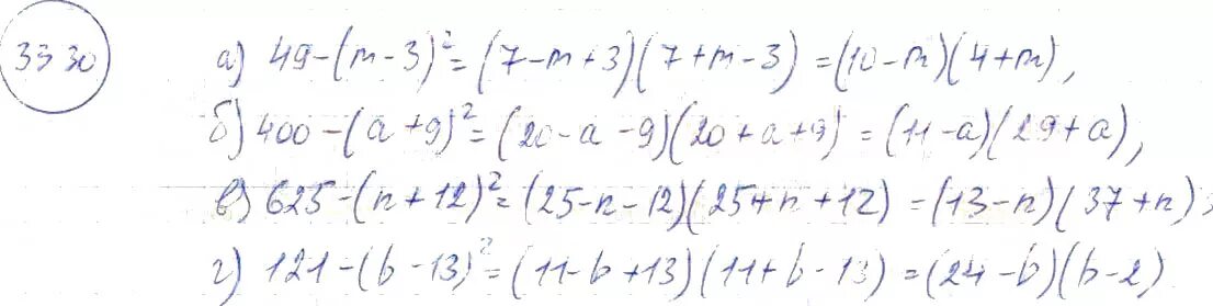
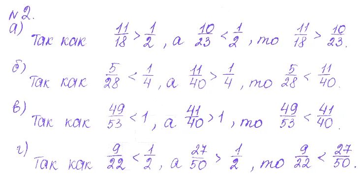
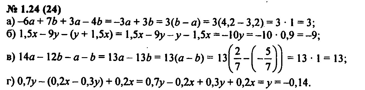
Алгебра 7 класс номер 842