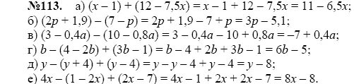
Алгебра 7 класс стр 103