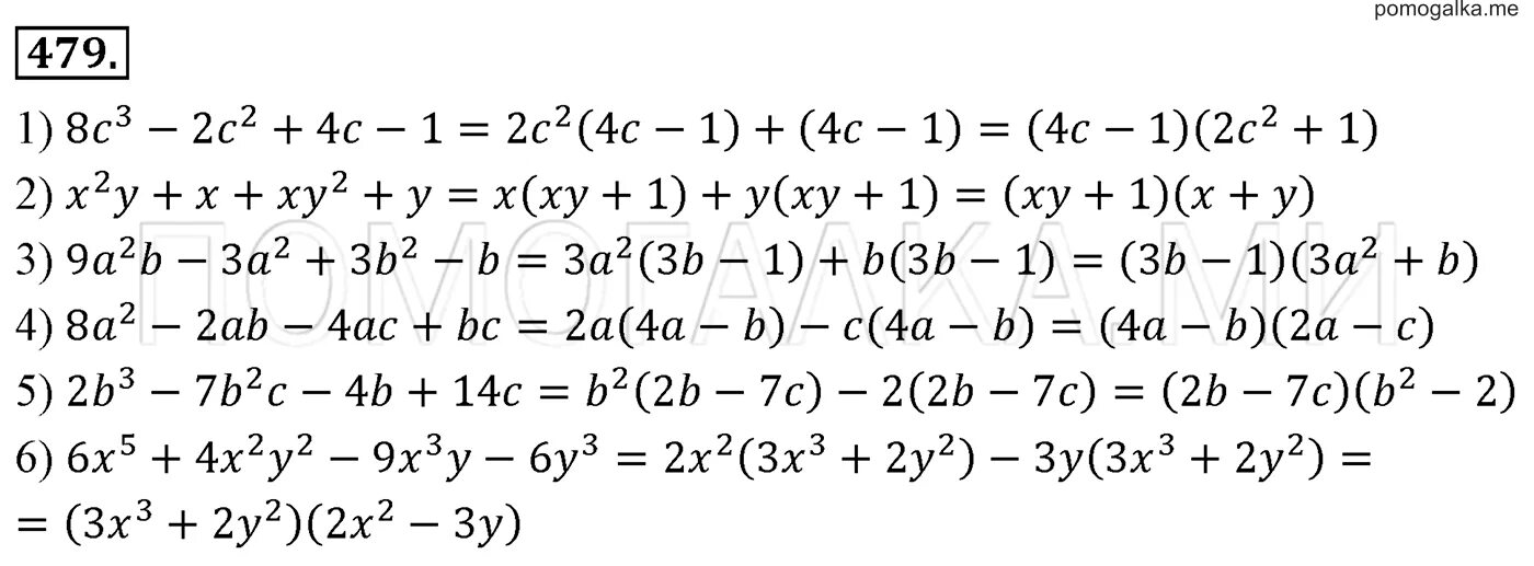
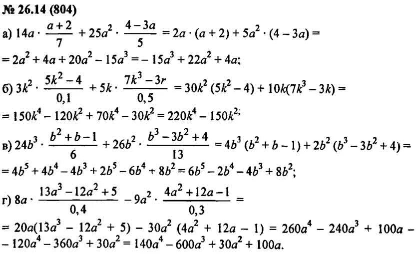
Алгебра 7 класс цдз