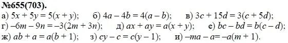
Алгебра 7 класс учебник 319