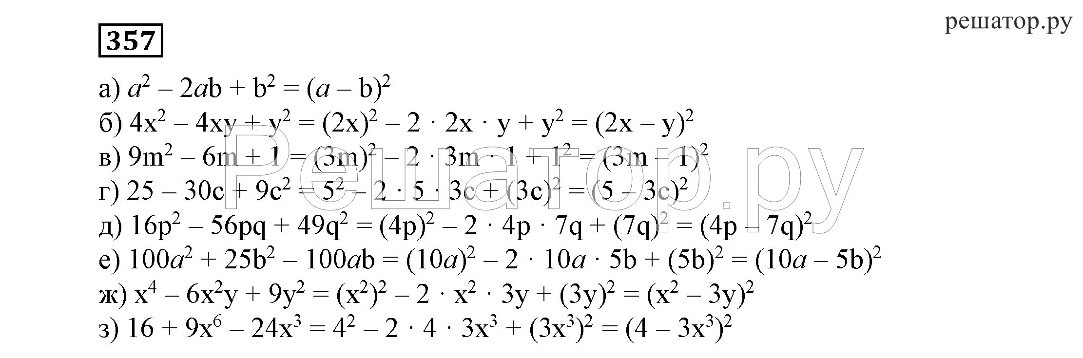
Алгебра 7 класс вертикаль