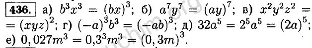
Алгебра 7 номер 105