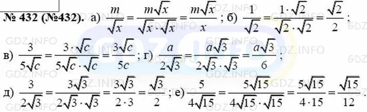
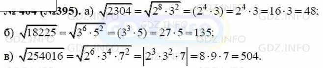
Алгебра 8 класс 2025 номер 395