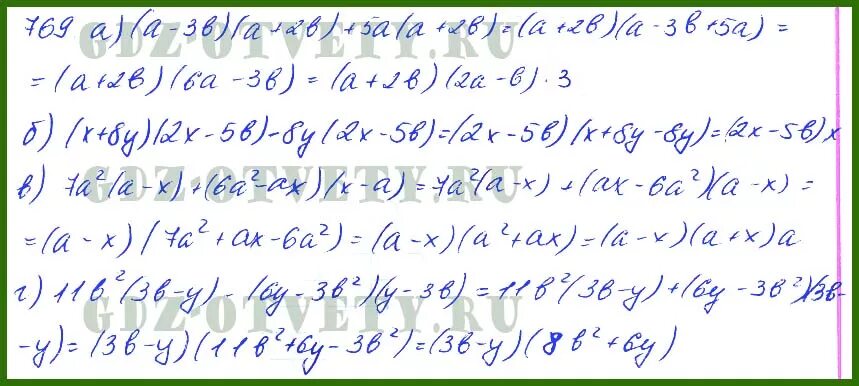
Алгебра 8 класс 770