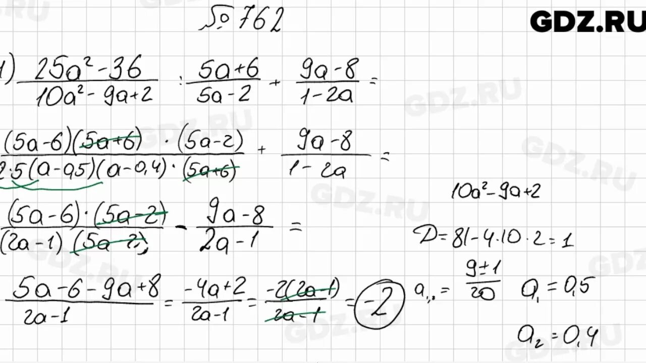
Алгебра 8 класс мерзляк номер 762