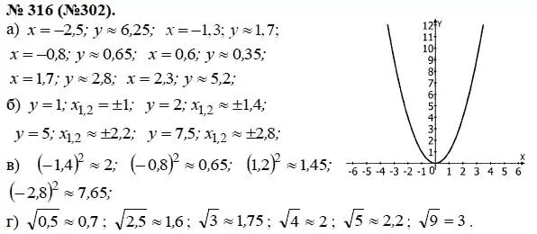
Алгебра 8 класс номер 61 макарычев миндюк