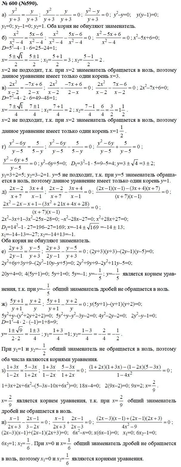
Алгебра 8 класс стр 8 упр 6