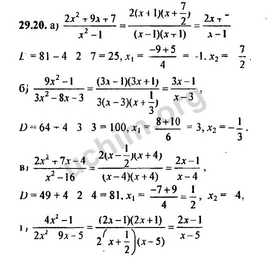
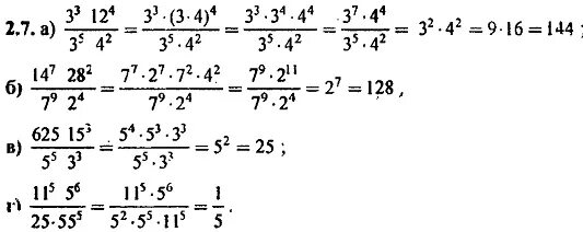
Алгебра 8 класс вычисление