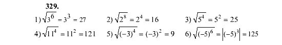
Алгебра 8 класса решить ответ