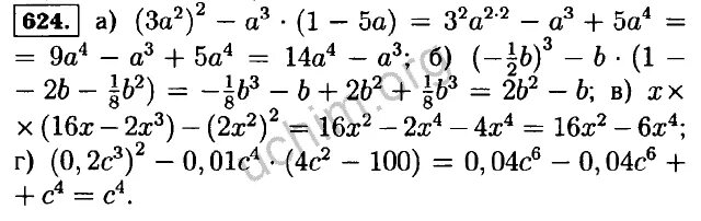
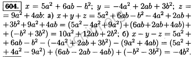
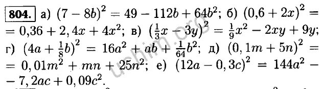
Алгебра 9 класс макарычев номер 4