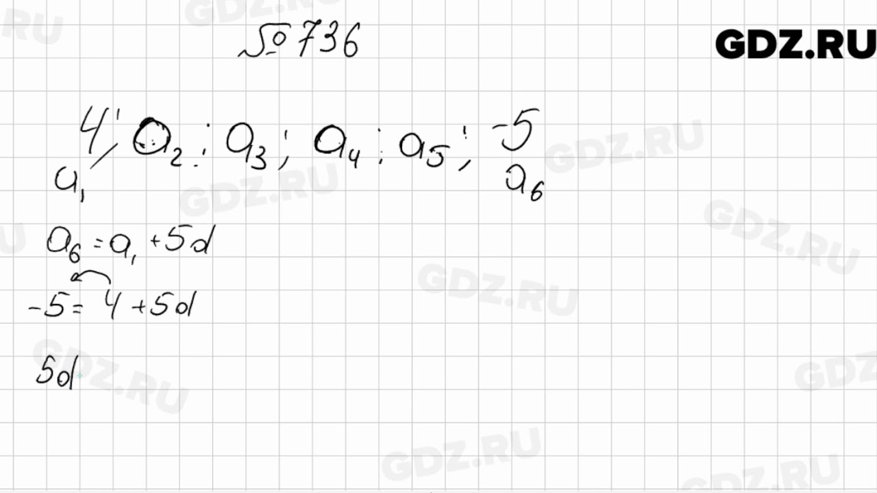
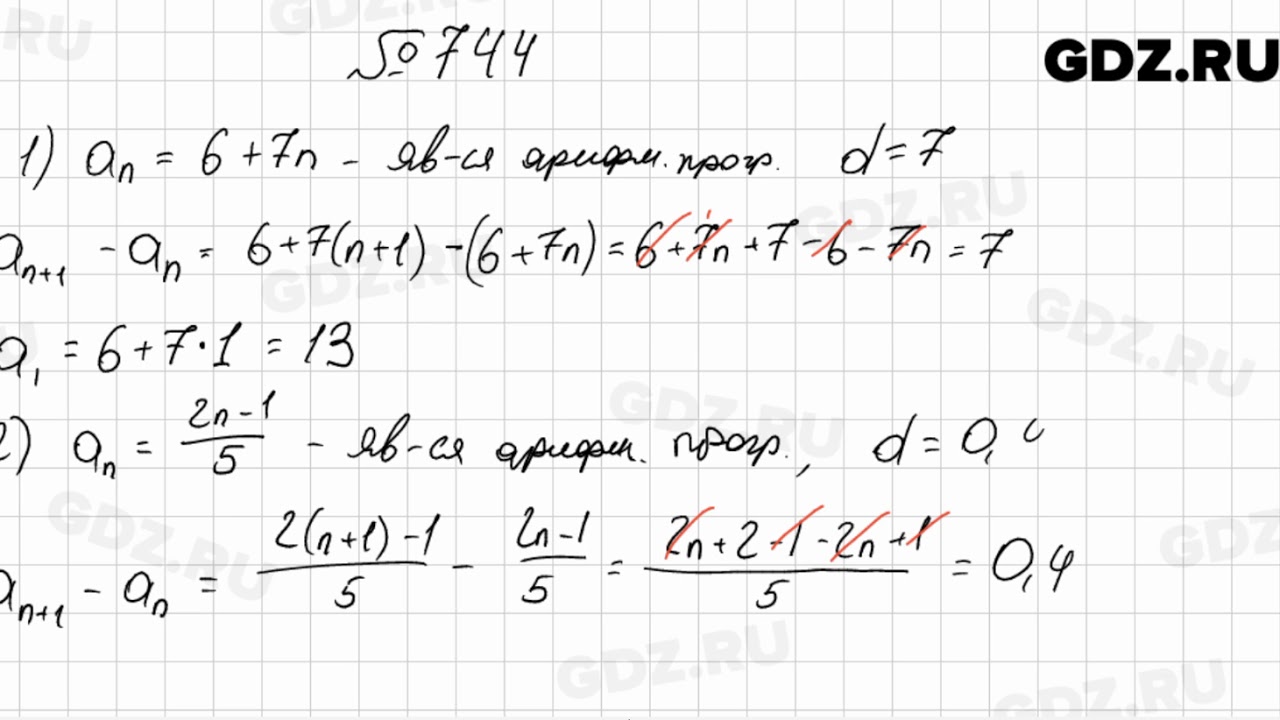
Алгебра 9 класс мерзляк 134