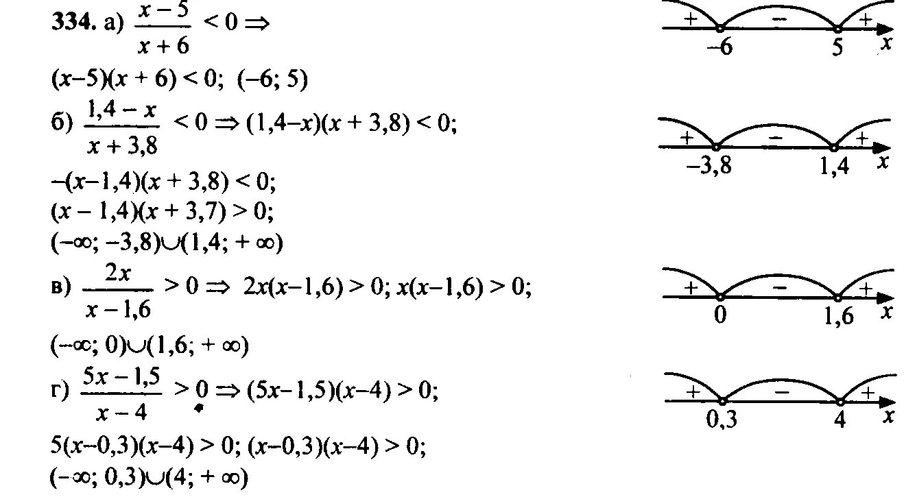
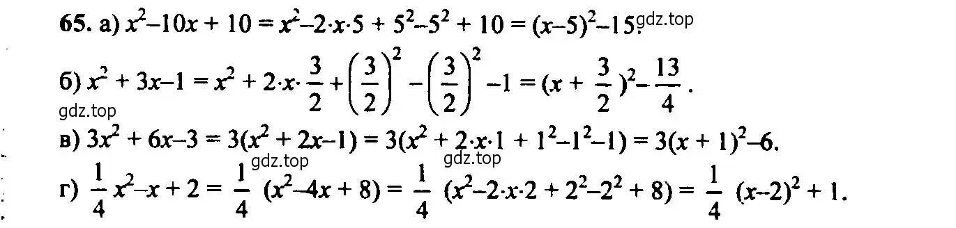
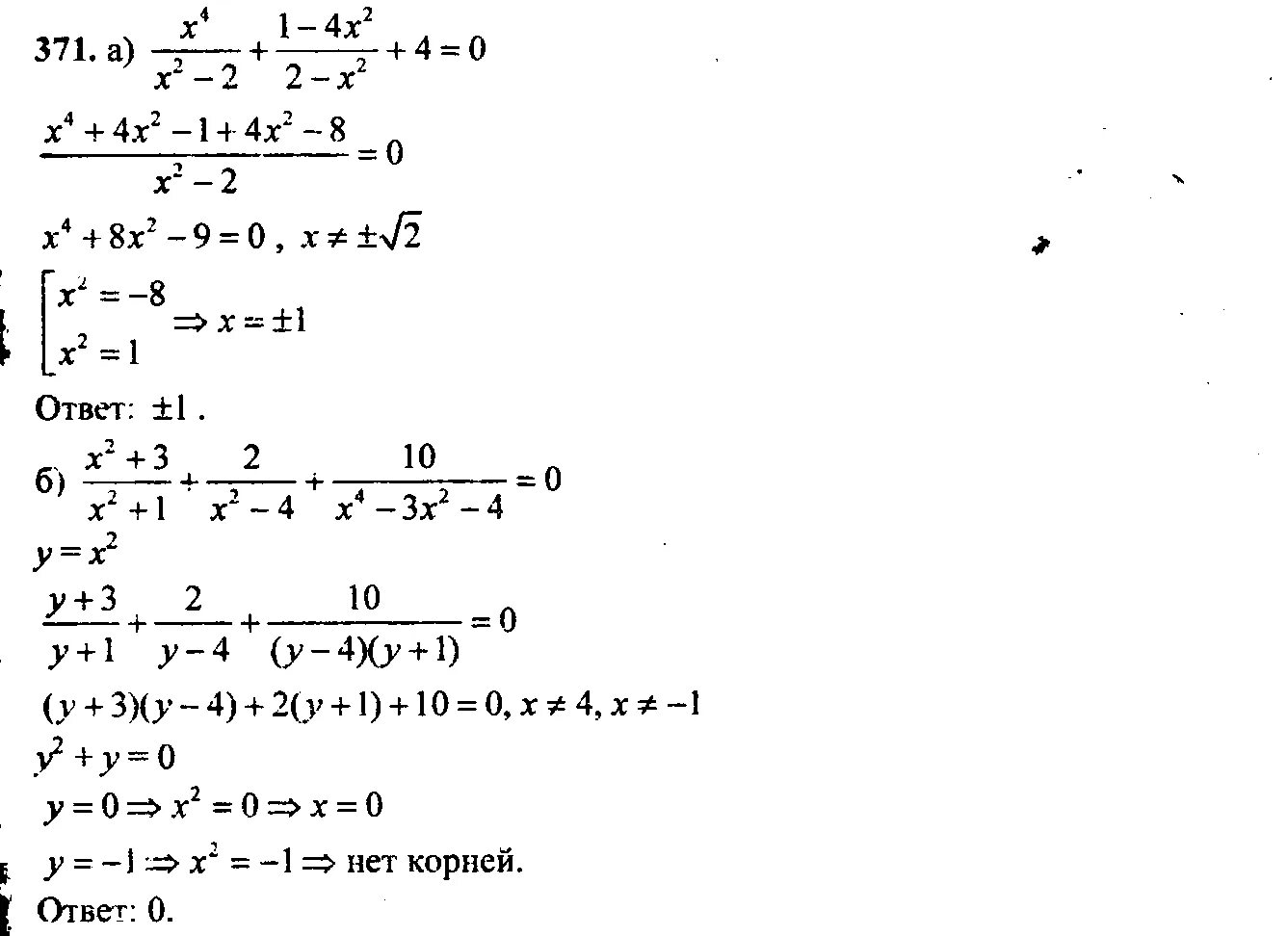
Алгебра 9 класс номер 65 страница 25