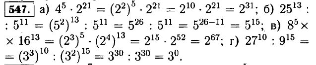
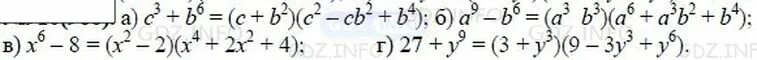
Алгебра номер 910