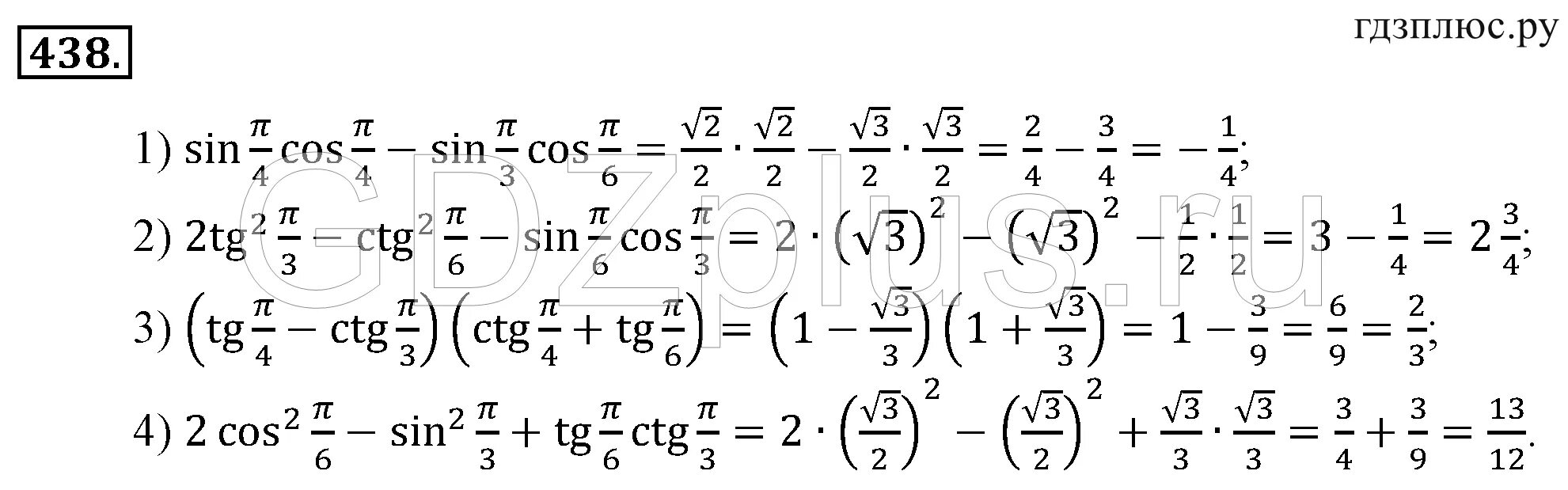
Алгебра самостоятельная работа алимов 10