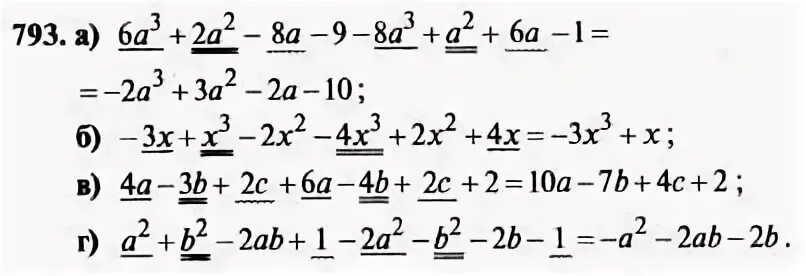
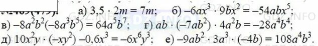
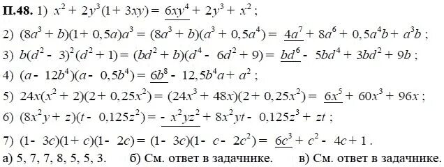
Алгебра седьмой класс макарычев номер 98